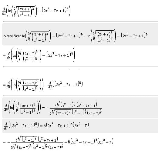
Como se resuelve esta derivada
¿Alguien me puede explicar como resolver esta derivada?

1 Respuesta
Respuesta de Dante Amor
1
¿Alguien me puede explicar como resolver esta derivada?
