Ejercicio de integrales con sumatoria
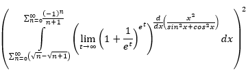
Estoy resolviendo este ejercicio que adjunto a continuación:

Me pueden colaborar por favor ya que me perdí al resolver esta parte:

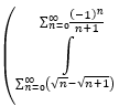
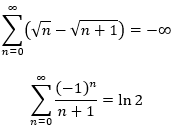
El tutor realiza estos pasos y le da

Me pueden explicar por favor como sacaron estos resultados
1 respuesta
Respuesta de albert buscapolos Ing°
2
Por favor usa correctamente las formas verbales en la lengua. - Sebas CR
Notado, por ejemplo ?? - albert buscapolos Ing°