Determine la dirección y magnitud del campo eléctrico en el punto P.

(figura 16-52)

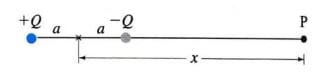
Determine la dirección y magnitud del campo eléctrico en el punto P de la figura (figura 16-52).

Las cargas están separadas una distancia 2? Y el punto P está a una distancia? Del punto medio entre las dos cargas.

Exprese su respuesta en términos de?,?,? Y?.

Ayuda con la explicación

1 respuesta

Respuesta
3

El sistema constituye un dipolo alineado con eje x.

El Campo Eléctrico en P que te piden lo hallas por superposición.

Magnitud  >>>>>>>E = K (+Q) / ( x+a)^2 + K (-Q) / (x-a)^2 = KQ { 1 /( x+a)^2  -  1/(x-a^2)} N/C

Dirección >>>>>>> E con sentido hacia la izquierda y dirección sobre el eje x.

Añade tu respuesta

Haz clic para o

Más respuestas relacionadas