Desarrollar Sustitución Trigonométrica y Fraccionesparciales.

Sustitución Trigonométrica y Fracciones parciales.

Sustitución Trigonométrica y Fracciones parciales.

1 respuesta

Respuesta
1

Recordar, para "por partes":  f '(uv) = u'v + v'u;  Si integramos ambos lados:

uv= u∫v + v∫u;  o:  u∫v = uv - v∫u;

Igualemos a nuestra integral a u∫v;  con lo que es igual a:  uv - v∫u.

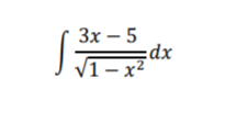
Tomamos:  ∫  (3x-5)*dx / √(1-x^2);  o:  ∫ { (3x-5)* [1/ √(1-x^2)] }*dx;

u=arcsin x;  du= [1/ √(1-x^2) ]*dx;

v= (3x-5);  dv= 3*dx;

∫  (3x-5)*dx / √(1-x^2) = arcsinx * (3x-5) -  3 ∫ arcsinx*dx;  esta última ese una integral directa.

∫  (3x-5)*dx / √(1-x^2) = 3x*arcsinx - 5arcsinx - 3 [√(1-x^2) + xarcsinx]+C;  

∫  (3x-5)*dx / √(1-x^2) = 3x*arcsinx - 5arcsinx - 3√(1-x^2) - 3xarcsinx + C;  simplifico:

∫  (3x-5)*dx / √(1-x^2) =  - 5arcsinx - 3√(1-x^2) + C.

o:  - [5arcsinx + 3√(1-x^2)] + C.

Puedo corroborar por derivación:

-5/√(1-x^2) - 3* {1/[2√(1-x^2)]}* (-2x);  simplifico:

[-5/√(1-x^2) ]  + [3x/√(1-x^2)];  finalmente:

(3x - 5) / /√(1-x^2); que es tu primitiva, por lo oque es correcto.

Buen día profe

El tutor me indica que debo dsarrollarlo por el método fracciones parciales

Gracias

Sustitución trigonométrica: Hagamos un triángulo rectángulo con hipotenusa o radio vector=1; un cateto vale x y el otro √(1-x^2) (esto último por Pitágoras).

SenA=o/r;  SenA=x/1;  SenA=x.   A=ArcSenx.

También:  dx=CosA*dA;  y:  

CosA=a/r;  CosA=√(1-x^2)/1;  CosA=√(1-x^2),

Sustituimos todo en función de A:

∫ [(3SenA - 5) / cosA] * CosA*dA;  simplifico:

∫ (3SenA - 5)*dA;  integro:

-3CosA - 5A + C;  devuelvo variables:

-3√(1-x^2) - 5ArcSenA + C;  obviamente igual resultado.

Por Fracciones parciales, tenemos que factorizar al denominador:

(3x-5)/√(1-x^2) = A/√(1-x)  +  B/√(1+x);

(3x-5)/√(1-x^2) = [A√(1+x)  +  B√(1-x)] / √(1-x^2);  simplifico:

(3x-5)= A√(1+x)  +  B√(1-x);  doy valores:

-5 = A + B;  haciendo x=0;

3-5 = A√2 + 0;  haciendo x=1;  donde A= -√2

Sustituyo en:  -5 = A + B;   -5 = -√2 + B;  B= -5 +√2.  Queda:

-√2/√(1-x)  +  (√2-5)/√(1+x);  Integro:

Para el primer término:  u=√(1-x);  du= [-1/2√(1-x)]*dx;  dx=-2u*du;  sustituyo:

-(√2 / u ) * -2u*du;  = 2√2*du;  Integro:  2√2 * u;  devuelvo variable:

2√2 *√(1-x)

Para el segundo término:  u=√(1+x);  du= [1/2√(1+x)]*dx;  dx=2u*du;  sustituyo:

(-5+√2 / u ) * 2u*du;  = 2(-5+√2)*du;  Integro:  2(-5+√2) * u;  devuelvo variable:

2(-5+√2) *√(1+x).  Queda finalmente:

2√2 *√(1-x) + 2(-5+√2) *√(1+x) + C; 

o:  2{√2[√(1-x) + √(1+x)] - 5√(1+x)} + C

Añade tu respuesta

Haz clic para o

Más respuestas relacionadas