Como puedo resolver estos vectores

⦁ Dados los vectores U=(2,-3,1) y V=(-3,-2,-4). Calcular
⦁ V x U
⦁ U•V

1 respuesta

Respuesta
1

El producto escalar (o producto punto), lo resuelves multiplicando cada término de un vector con el equivalente del otro vector y luego sumando los productos que vas obteniendo (de hecho se llama escalar porque el resultado es un número (escalar)

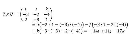
Para el producto vectorial (o producto cruz), la forma más sencilla (no sé si es la única) es calcular el determinante de ambos vectores junto con el vector de versores (i, j, k)

Te voy a hacer el producto vectorial, que es el más complicado, el otro calculo que podrás calcularlo por tus medios

El último vector que tienes escrito con (i, j, k) lo podés escribir también como (-14, 11, -17)

Salu2

Añade tu respuesta

Haz clic para o

Más respuestas relacionadas