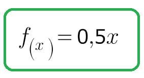
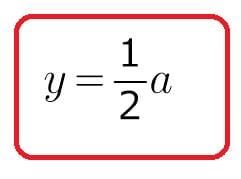
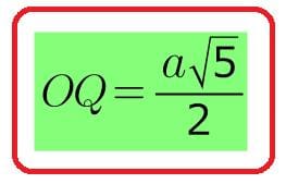
En la figura adjunta, la recta que pasa por O y Q es la representación gráfica de función f
definida por f(x) = 0,5x. Si las coordenadas de P son (a, 0), entonces la longitud de OQ está representada por

1 respuesta
Respuesta de Luis Alberto Candio Salcedo
1





