Hallar el área de un trapecio si:
Hallar el área del siguiente trapecio si se sabe que su área es igual a la suma de la base mayor con la base menor,dividiendo el resultado entre dos. Luego, multiplicando todo por la altura.
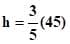
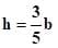
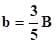
En este caso, la suma de las longitudes de las bases es de 120 cm. La base menor mide 3/5 de la longitud de la base mayor, y la altura los 3/5 de la base menor .
1 Respuesta
Respuesta de Luis Alberto Candio Salcedo
1
