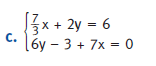
Resolver según el método y clasificar según su solución:
(determinante)
(sustitucion)
(sustitucion)
Hola por favor me ayudan a resolver estos 3 ejercicio con sus respuestas correctas y detalladamente, tengo un examen oral de esto.
2 respuestas
Respuesta de Luis Alberto Candio Salcedo
1
Respuesta de albert buscapolos Ing°
1
