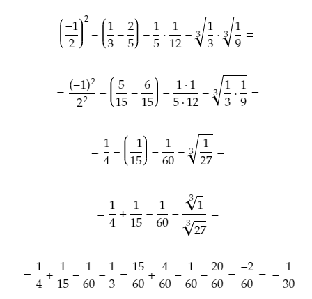
Ejercicios combinados (-1/2)elevado al cuadrado -(1/3-2/5)-1/5.1/12-raiz cúbica de 1/3. Raíz cúbica de 1/9=

¿Me pueden ayudar con este ejercicio? Por favor. Es resolver el ejercicio combinado

1 respuesta

Respuesta

Gabriela,

Adjunto la solución paso a paso:

Añade tu respuesta

Haz clic para o

Más respuestas relacionadas