Resolver las siguientes integrales utilizando le método de fracciones parciales (parte 1). (Caso 1,2,3 y 4)

 

 

 

 

Resolver las siguientes integrales utilizando le método de fracciones parciales. En base de utilizar y encontrar si son de:

Caso 1: El denominador q(x) es un producto de factores lineales distintos.

Caso 2: El denominador q(x) es un producto de factores lineales, algunos de
Los cuales se repiten.

Caso 3: El denominador q(x) contiene factores cuadráticos irreductibles, ninguno
De los cuales se repite.

Caso 4: El denominador q(x) contiene un factor irreductible repetido.

1 Respuesta

Respuesta
1

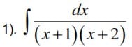
1)  ∫ dx/(x+1)(x+2); 

1 / (x+1)(x+2) = A/(x+1)  + B/(x+2);  factor común a la derecha:

1 / (x+1(x+2) = [A(x+2) + B(x+1)] / (x+1)(x+2);  simplifico:

1 = A(x+2) + B(x+1);  doy valores a x:

1 = 0  - B;  B= (-1);  para x= (-2);

1= A + 0;  A=1;  para x=(-1).  Queda:

∫dx/(x+1)  - ∫dx/(x+2);  integro:

ln|x+1| - ln|x+2| + C;  o:  variando la constante: 

ln|x+1| - ln|x+2| + ln|A|;  o:

#### ln | A(x+1) / (x+2) |

2)  ∫ (2x+5)dx / [x(x+1)];  factorizando al denominador.

(2x+5) / [x(x+1)] = A/x + B/(x+1);

(2x+5) / [x(x+1)] = A(x+1) + Bx /  [x(x+1)];  simplifico:

(2x+5)  = A(x+1) + Bx;

0 + 5 = 0 + A + 0;  A=5;  para x=0;

-2+5 = 0 – B;  B=-3;  para x=(-1). Queda:

5 ∫ dx /x – 3 ∫ dx/(x+1);  integro:

5ln|x| - 3ln|x+1| + lnC;

*****Ln| Cx^5 / (x+1)^3 |;  corroboro por derivación en cadena:

[(x+1)^3 / x^5] * { [5x^4(x+1)^3 – 3(x+1)^2*x^5] / (x+1)^6 }

[(x+1)^3 / x^5] * x^4(x+1)^2 * [5(x+1) – 3x] / (x+1)^6;  simplifico:

(1/x)* [5(x+1) – 3x] / (x+1);

(2x+5) / x(x+1);  que es tu primitiva.

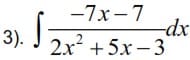
3)  Puede reescribirse factorizada:  (-7/2) ∫ (x+1)dx / [(x-1/2)(x+3)];  como (-7/2) no variará a lo largo de todo el ejercicio lo extraeré hasta el final (no olvidar de ponerlo).

(x+1) / [(x-1/2)(x+3)] = A/(x-1/2) + B/(x+3);

(x+1) / [(x-1/2)(x+3)] = [A(x+3) + B(x-1/2) ] / [(x-1/2)(x+3)];  simplifico:

(x+1) = A(x+3) + B(x-1/2);

(-2) = 0A – (7/2)B;  B=(4/7);  para x= (-3);

(3/2) = (7/2)A + 0B;  A=(3/7);  para x=(1/2).

(-7/2) { (3/7) ∫ dx/(x-1/2) + (4/7) ∫ dx / (x+3) };  integro:

(-7/2) { (3/7) ln|x-1/2| + (4/7) ln|x+3| + (1/7)ln |C| };

Pongo como constante a (1/7) ln|C| para poder simplificar;  simplifico:

(-1/2) { 3 ln|x-1/2| + 4 ln|x+3| + ln |C| };

****(-1/2) ln | (x-1/2)^3 * (x+3)^4 * C|.

4)  ∫ x^2dx / [(x+1)^2 * (x+2)];  Sugiero usar Hermite-Ostrogradsky:

∫ x^2 dx / [(x+1)^2 * (x+2)] = A/(x+1) + ∫ B dx /(x+1) + ∫ Cdx/(x+2),  derivo ambos lados:

x^2 / [(x+1)^2 * (x+2)] = (d/dx) A/(x+1) + B /(x+1) +  C/(x+2);

x^2 / [(x+1)^2 * (x+2)] = -A/(x+1)^2 + B /(x+1) +  C/(x+2);

x^2 =  -A(x+2) + B (x+1)(x+2) +  C(x+1)^2;

1 = -A;  A=(-1);  para x=(-1);

4 = C;  para x=(-2);

0 = -2A + 2B +C;  para x=0;  Reemplazo:  0 = 2+2B+4;  B=(-3)

Reemplazo en:  ∫ x^2 dx / [(x+1)^2 * (x+2)] = A/(x+1) + ∫ B dx /(x+1) + ∫ Cdx/(x+2),

-1/(x+1) - 3 ∫ dx /(x+1) + 4 ∫ dx/(x+2),  Integro:

[-1/(x+1) – 3 ln|x+1| + 4 ln|x+2| + ln|C|;  o:

****[-1/(x+1)] – ln |C(x+2)^4/ (x+1)^3|

5)  ∫ (x^4-x^3+x+1)dx / x^2(x+1);

 ∫ (x^4-x^3+x+1)dx / x^2(x+1) = A/x + ∫ Bdx/x + ∫ Cdx/(x+1); derivo ambos lados:

 (x^4-x^3+x+1) / x^2(x+1) = -A/x^2 +  B/x +  C /(x+1)

 (x^4-x^3+x+1) = -A(x+1) + Bx(x+1) + Cx^2;

 1 = -A;  A=(-1);  para x=0;

 1+1-1+1 = C;  C=3;  para x=(-1);

 1-1+1+1 = -2A  + 2B +C;   para x=1;  2 = 2 +2B + 3;  B= (-3/2)

 Reemplazo en:  ∫ (x^4-x^3+x+1)dx / x^2(x+1) = A/x + ∫ Bdx/x + ∫ Cdx/(x+1);

 (-1/x) – (3/2) ln|x| + 3 ln|x+1| + ln|C|;  o:

**** (-1/x)  + 3ln| C(x+1) / x^(1/2) |

Añade tu respuesta

Haz clic para o

Más respuestas relacionadas