Ententaré desarrollar algo (no sé si llegaré a algo interesante, pero tal vez te 'ayude a pensar la solución')
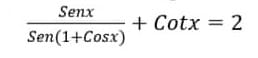
$$\begin{align}&\frac{senx}{sen(1+cosx)}+cotx = 2\\&\frac{senx}{sen(1+cosx)}+\frac{cosx}{senx} = 2\\&\text{Usando el seno de la suma...}\\&\frac{senx}{sen(1)\cos(cosx)+sen(cosx)cosx}+\frac{cosx}{senx} = 2\\&\text{Y hasta acá llegué...}\end{align}$$Solo veo 2 posibilidades:
1) Hay algo mal en la fórmula
2) La solución la resuelves por métodos numéricos (ejemplo mediante Newton-Raphson).
Respecto al segundo punto, si hacemos
$$\begin{align}&f(x)=\frac{senx}{sen(1+cosx)}+cotgx-2\\&f'(x)=\frac{cosx \cdot sen(1+cosx)+sen^2x \cdot \cos(1+cosx)}{sen^2(1+cosx)}-\frac{1}{sen^2x}\\&\text{La fórmula de Newton-Raphson, es:}\\&x_{n+1} = x_n - \frac{f(x)}{f'(x)}\\&\end{align}$$Planteando eso, vemos que luego de 5 iteraciones converge a la solución (insisto que es una solución numérica, no veo que algebraicamente sea posible despejar algo de esa expresión que tienes

Salu2