No doy datos personales abiertos en el Foro.
El tema del problema ( muy provechoso por cierto) es en el fondo una demostración del Principio de Conservación de la Energía. ( En este caso Electromagnética.)
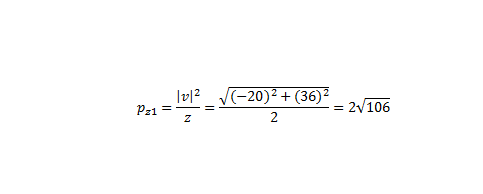
Fíjate el caso de Z1 : ... vos hicistes...

Mira :
Sobre Z1= 2/0 te actua una d.d.p. ( valor absoluto)12= e1 - e2 = 8 - 12 - j4 = -4 - j4.................................Haces el modulo y lo elevas al 2 = / -4- j4 /^2 = (4 V2)^2 = 32
Luego de acuerdo a laS formulas que te indican tenes:
Potencia compleja = 32 / 2/0= 16Watts...............VAR = 0
Sobre Z2 = 4/0 te actua una d.d.p. ( valor absoluto)12= e3 - e1 =(8V2/45) - 8= 8 - 8i .................Haces modulo y lo elevas al cuadrado ........= /8V2/^2= 64.
Luego a plicas, como antes Potencia compleja = 64/4 = 16 Watts.............VAR = 0.
Sobre Z3 te estan dando ya la corriente( 2/0 A )..........................
Luego S = i^2 Z3 = 4 x ( 3 + j4) = 12 + j 16 ....de donde P = 12 watts y Q = 16 VAR
Y así los restantes.
Fíjate que los Q de la Potencia compleja siempre te los fijará la reactividad de la carga.
Cualquier duda me volvés a consultar. No me molesta.