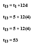
En una progresión aritmética cuyo primer termino es 5 y cuya diferencia es 4, calcula el decimotercer termino
Es que no entiendo y soy en el colegio innova
1 Respuesta
Respuesta de Luis Alberto Candio Salcedo
1


