Para que valores de la variable la expresion es real

¿Cómo puedo hallar el valor de la variable para que sea una expresion real?

1 respuesta

Respuesta
1

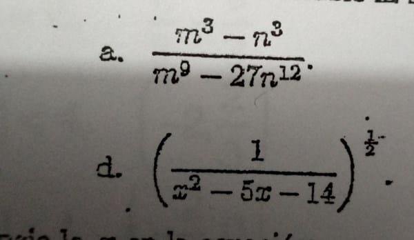
Supongo que te referís al ejercicio d.

Para que esa expresión sea real, lo que está dentro del paréntesis debe ser positivo, tenés un cociente, por lo que para que sea positivo, tanto numerador como denominador deben tener el mismo signo, como el 1 es positivo, lo que implica es que la expresión

x^2 - 5x - 14 debe ser positiva, o sea

x^2 - 5x - 14 > 0

Buscamos cuando se cumple la igualdad

x_1 = -2

x_2 = 7

Ahora hay varias formas para saber donde será positiva, una 'sencilla' es que como el coeficiente principal de la cuadrática es positivo, entonces esa expresión tiene forma de U, o sea que será positiva desde menos infinito hasta la primer raíz y de la segunda raíz a más infinito.

Conclusión:

La expresión anterior será real para

x en (-infinito, -2) U (7, + infinito)

Salu2

Y en el caso de el ejercicio d ,aplica también el numerador y denominador con el mismo signo?

Mi explicación fue respecto al ejercicio d., ya que el ejercicio a. siempre que esté definido (o sea cuando el denominador sea distinto de 0), entonces será real.

Añade tu respuesta

Haz clic para o

Más respuestas relacionadas