Análisis marginal, determinar las funciones.
Solicito su amable apoyo para dar solución a estos planteamientos:
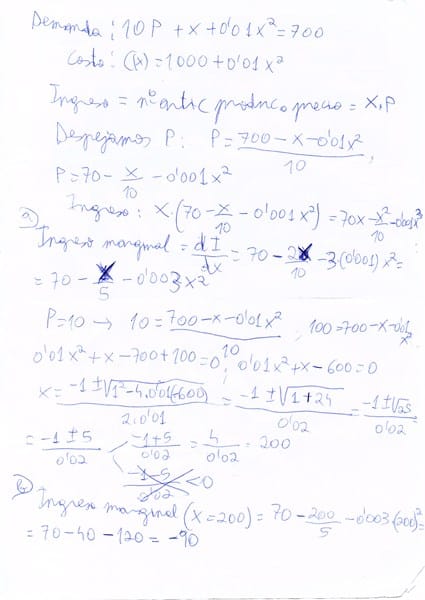
1. La ecuación de demanda de cierto artículo es 10? + ? + 0.01?² = 700 y la función de costo es
?(?) = 1000 + 0.01?²
a) Determine la función de ingreso
b) Determine la función de ingreso marginal con p=10
c) Determine la función de costo marginal d) Determine la función de utilidad e) Determine la función de utilidad marginal si x=100 y p= 10
Es importante considerar que para encontrar el ingreso marginal con p=10, primero se debe dejar la ecuación de demanda en términos de P, una vez despejado p, sustituir p=10 y despejar x, ese valor de x es el que nos servirá para encontrar el ingreso marginal cuando p=10. Ya que el ingreso marginal nos queda en términos de x y no se puede sustituir p directamente.


