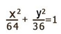
¿Cuál es el valor del lado recto de la siguiente elipse?
Me podrían ayudar con lo siguiente. De antemano se los agradezco mucho, gracias por su atención.
Es el valor del Lado Recto de la elipse

a. LR = 7
b. LR = 10
c. LR = 9
d. LR = 8
1 respuesta
Respuesta
1
