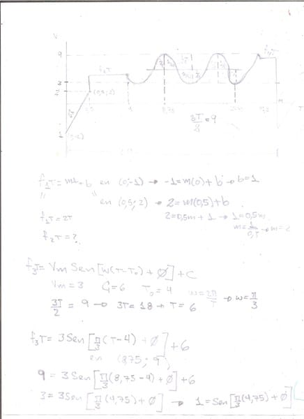
En esta función como hallo el angulo de fase

En el ejercicio original para hallar el angulo de fase hacen una regla de 3
6---------2pi
2.75-------x
Pero, no entiendo de donde sale ese 2.75. Si tienen guías de este tema por favor facilitenmela se los agradecería muchísimo
2 respuestas
Respuesta de albert buscapolos Ing°
Respuesta de Mario Gomez