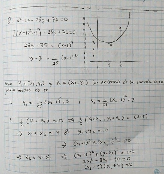
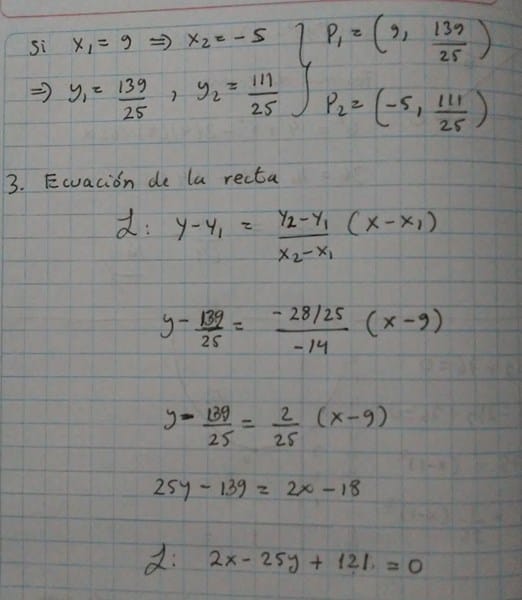
¿Cuál es el proceso para obtener la ecuación de la recta?
![]()
En el siguiente ejercicio debo halalr la ecuación de la recta
1 Respuesta
Respuesta de Karl Mat
1

