Hallar el área entre dos funciones
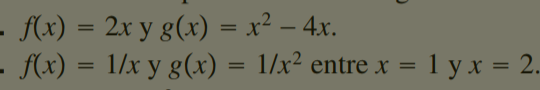
Como encuentro el área comprendida entre los gráficos de las funciones f y g en los siguientes casos:

1 respuesta
Respuesta de albert buscapolos Ing°
1