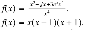
Como hallo las primitivas de estas funciones

No se como hallar las primitivas cuando están funciones multiplicándose o dividendo.
Respuesta de Mario Rodríguez
1
