Como puedo resolver estos ejercicios funcionales
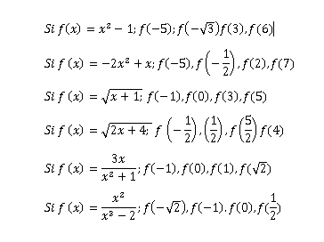
- En los problemas 1-6, encuentre los valores funcionales indicados.

- Encuentre los valores indicados en la función.

- Resuelve los siguientes casos:


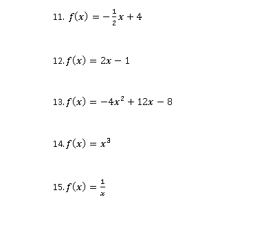
- Graficar las siguientes funciones:

1 respuesta
Respuesta de albert buscapolos Ing°
1