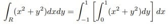
Determine el volumen de la f(x,y)=z=x^2+y^2, es decir:
Calculo de varias variables
Determine el volumen de la f(x,y)=z=x^2+y^2, es decir:

1 respuesta
Respuesta de Norberto Pesce
1
