¿Encontrar la solución de una ecuación diferencial?
Para encontrar la solución de una ecuación diferencial de orden superior con coeficientes variables de la forma a_2 (x) D^2 y(x)+a_1 (x)Dy(x)+a_0 (x)y(x)=f(x)
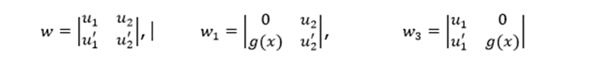
Se procede sustituir y = x^m, y^'= mx^(m-1), y'' =m(m-1) x^(m-2) Para, en primera instancia hallar la solución de su respectiva ecuación homogénea asociada de la forma, y luego, con la ayuda de los Wronskianos.

Se procede a encontrar la solución particular.
Con base en lo anterior, los Wronskianos w1 y w2 de la ecuación diferencial: xy’’ - y’ = x son:
- W_1=2x
- W_1=〖-x〗^3
- W_2=1
- W_2=x
1 Respuesta
Respuesta de Norberto Pesce
1
