Apoyo para la integración de fracciones racionales
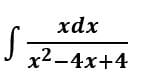
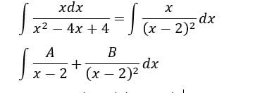
Resolver el siguiente ejercicio y primero tener que factorizar luego encontrar los valores de A y B y por ultimo integrar para llegar al resultado final.

Esto lo que estaba adelantando para saber si estoy bien o mal.

Respuesta de Elena salgado
1
1 respuesta más de otro experto
Respuesta de Lucas m
1

