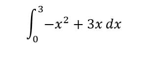
Como resolver esta integral por medio de suma de Riemann

Resolver por medio de suma de Riemann ya que la integral me da un valor de 9/2=4.5

1 respuesta

Respuesta
2

Creo que la teoría ya la tienes, así que vamos al ejercicio

$$\begin{align}&\int_{0}^3 -x^2+3x \  dx\\&a=0\\&b=3\\&\Delta x = \frac{b-a}{n}=\frac{3}{n}\\&x_i=a + i \Delta x = \frac{3i}{n}\\&f(x_i) = -x_i^2+3x_i =-(\frac{3i}{n})^2+3(\frac{3i}{n})=-\frac{9i^2}{n^2}+\frac{9i}{n}\\&Retomando..\\&\int_{0}^3 -x^2+3x \  dx = \lim_{n \to \infty} \sum_{i=1}^nf(x_i)\Delta x=\\&\lim_{n \to \infty} \sum_{i=1}^n (-\frac{9i^2}{n^2}+\frac{9i}{n})\cdot \frac{3}{n}=\\&\lim_{n \to \infty} \frac{27}{n^2} \sum_{i=1}^n (-\frac{i^2}{n}+i)=\\&\lim_{n \to \infty} \frac{27}{n^2} \bigg(\sum_{i=1}^n -\frac{i^2}{n}+ \sum_{i=1}^n i \bigg)=\\&\lim_{n \to \infty} \frac{27}{n^2} \bigg(\frac{-1}{n}\sum_{i=1}^n \ i^2 + \sum_{i=1}^n i \bigg)=\\&\lim_{n \to \infty} \frac{27}{n^2} \bigg(\frac{-1}{n}\frac{n(n+1)(2n+1)}{6} + \frac{n(n+1)}{2} \bigg)=\\&\lim_{n \to \infty} \frac{27}{n^2} \bigg(\frac{-(n+1)(2n+1)}{6} + \frac{n(n+1)}{2} \bigg)=\\&\lim_{n \to \infty} \frac{27}{n^2} \bigg(\frac{-2n^2-3n-1}{6} + \frac{3n^2+3n}{6} \bigg)=\\&\lim_{n \to \infty} \frac{9}{n^2} \bigg(\frac{n^2-1}{2}  \bigg) \to \frac{9}{2}\end{align}$$

Salu2

Añade tu respuesta

Haz clic para o

Más respuestas relacionadas