Como puedo resolver un sistema de ecuaciones
Por más que intento no puedo resolver estos dos ejercicios de sistema de ecuaciones
2X + 3Y = -2
X - 3Y
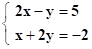
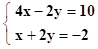
Y el otro es
2x - y= 5
X + 2Y= -2
1 respuesta
                    Respuesta de Luis Alberto Candio Salcedo                
                






