Apoyo para este ejercicio calculo de volumen por el método de cascarones cilíndricos
1- Identifica de los siguientes ejercicios: radio, circunferencia y altura, puntos de corte, intervalos y gráfica.
2- Utiliza el método de los cascarones para encontrar el volumen del sólido de revoluciones que se forma al girar las regiones alrededor de la recta o eje que se indica:
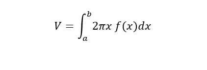
Fórmula para el calculo el volumen de cascarones cilíndricos:


1 respuesta
Respuesta de Lucas m
1

