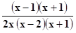
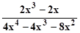
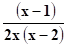
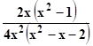
¿Cómo se realizan los pasos para saber si estas fracciones son equivalentes?
¿Cómo le hago para saber si estas fracciones son equivalentes?

1 respuesta
Respuesta de Luis Alberto Candio Salcedo
1

