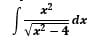
Integral Indefinida Aplicando las propiedades y definición de integral, resolver
Me pueden ayudar con este ejercicio
Integral Indefinida
Aplicando las propiedades y definición de integral, resolver
![]()
es que mi profesor dice que esta mal desarrollada según mi respuesta

Por favor ayuda que no entiendo con que método desarrollarla
La respuesta que tiene que dar es
