1. Una ecuación diferencial de segundo orden es de la forma ?´´ + ?_1(?)?´ + ?_2(?)? = ?(?) y para que ésta sea una
1. Una ecuación diferencial de segundo orden es de la forma? ´´ +?1 (?)? ´ +?2 (?)? =?(?) y para que ésta sea una ecuación homogénea con coeficientes constantes se deben hacer dos suposiciones: 1. Los coeficientes son constantes. 2.?(?) = 0. Una ecuación homogénea tiene dos soluciones independientes y se pueden presentar tres tipos: Caso 1: Soluciones reales y distintas, Caso 2: Soluciones iguales y reales y Caso 3: Soluciones complejas y conjugadas. Teniendo en cuenta lo anterior las soluciones de la ecuación diferencial ? ´´ − 2? ´ + 3? = 0 son:
A. Soluciones complejas y conjugadas cuya solución da ? = ? ? (?_1 ??? √2 ? + ?_2 ??? √3?)
B. Soluciones complejas y conjugadas cuya solución da ? = ? ? (?_1 ??? √2 ? + ?_2 ??? √2?)
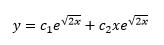
C. Soluciones iguales y reales cuya solución da 
D. Soluciones distintas y reales cuya solución da 
Necesito ayuda por favor necesito saber cual es la respuesta y su procedimiento
