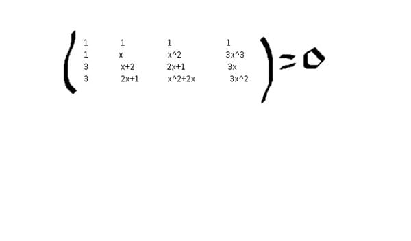
Hallar el valor de x en la siguiente matriz

¿Cómo hallar x en la siguiente matriz cuando su determinante es 0?
2 respuestas
Respuesta
Respuesta de Norberto Pesce

¿Cómo hallar x en la siguiente matriz cuando su determinante es 0?