¿Cómo resolver estos problemas de integrales?
Necesito determinar el área de las regiones utilizando las integrales. Las f(x) son las siguientes:
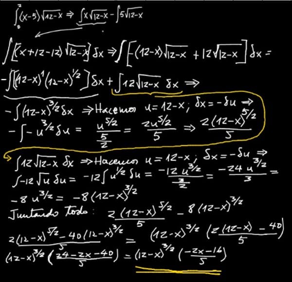
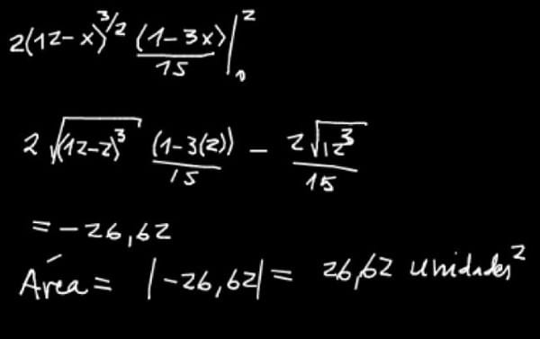
(x-5)* raíz cuadrada de 12-x (DE 0 a 2)
4x+10 sobre x^2+5x (DE 0 a 4)
1 Respuesta
Respuesta de Llaq Kmg
1


