Determinar domino y recorrido, ¿Alguien que responda resuelva esto ?

Evaluar la función como se indica. Determinar Su dominio y Rango o recorrido

1 respuesta

Respuesta
1

Para x > 5 la función está definida para todos los valores (ya que es un polinomio)

Para x <= 5, entonces hay que ver en que momento el interior de la raíz es negativa

x+4 < 0

x < -4

Por lo tanto el dominio de la función es [-4, + infinito)

Para ver el recorrido, vamos a analizar las 2 partes de la función por separado

[-4, 5]: f(x) = sqrt(x + 4)

Es en intervalo dado, es una función estrictamente creciente por lo tanto el valor más bajo estará en el extremo izquierdo y el valor más alto en el extremo derecho.

f(-4) = 0

f(5) = 3

Como es creciente y continua (en ese intervalo), el rango es todo el intervalo [0,3], 

Ahora veamos la función para x > 5

(5, +Inf): f(x) = (x-5)^2

Está claro que por ser un cuadrado, serán todos valores positivos, y además se ve que en infinito, la función tiende a infinito, por lo tanto hay que ver cual es el mínimo de la función (y por ser una función continua sabremos que el rango será desde ese mínimo hasta infinito)

Voy a asumir que te explicaron como buscar el mínimo por medio de la derivada, si esto no es así, avisa y vemos de calcularlo de otra forma

f(x) = (x-5)^2

f'(x) = 2(x-5)

f'(x) = 0 = 2(x-5)

x = 5

Por lo tanto el mínimo será cuando x = 5, y la función valdrá f(5) = (5-5)^2 = 0

Por lo tanto sabemos que esta parte de la función tiene un rango en el intervalo [0, infinito) y la otra parte de la función el rango es [0 , 3]

Uniendo ambas expresiones, el rango 'completo' de la función es [0, infinito]

Las evaluaciones 'puntuales' de la función, te las dejo de tarea

Salu2

¡Gracias! Otra vez me salvaste la vida. Aunque eso de las evaluaciones puntuales aún no nos han explicado

Ok, respecto a la evaluación puntual, lo que debes hacer es remplazar el valor de x por el número que te dan (en este caso por ser una función partida, tienes que tener cuidado y ver en cual de los 2 tramos debes evaluarla). Te las dejo hecha (pero sin demasiado detalle)

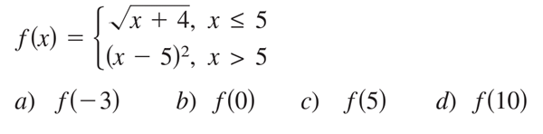
a) f(-3) = sqrt(-3 + 4) = sqrt(1) = 1

b) f(0) =  sqrt(0 + 4) = sqrt(4) = 2

c) f(5) =  sqrt(5 + 4) = sqrt(9) = 3

d) f(10) = (10-5)^2 = 5^2 = 25

* Ten en cuenta que sqrt es la raíz cuadrada

Salu2

Añade tu respuesta

Haz clic para o

Más respuestas relacionadas