¿Está este problema de fracciones?
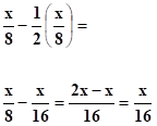
Tengo una duda con este problema de fracciones. Camila ha utilizado 7/8 del dinero que tenía para pagarse las clases de guitarra y un medio de lo que le restaba para un regalo de su hermana. Si le quedan 5000$ ¿Cuánto dinero tenía al principio? Yo consideré 1/8 (¿Lo qué le resta) por 1/2 su mitad= 1/16x = 5000 y Me da 80.000. Está bien el desarrollo?
1 respuesta
Respuesta de Luis Alberto Candio Salcedo
1


