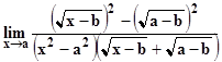
Cuál es la forma de desarrollar este límite algebraico?
Amigos podrían ayudarme con este ejercicio:
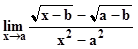
Calcule el límite para

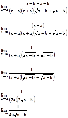
1 Respuesta
Respuesta de Luis Alberto Candio Salcedo
1



