La parte interior de un neumático de automóvil está bajo una presión ... Como resolverlo?
La parte interior de un neumático de automóvil está bajo una presión manométrica de 32 Para a 7°C y un volumen de 20 litros de aire. Después de varias horas, la temperatura del aire interior sube a 294.57 K y su volumen aumenta un 11%.

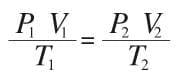
Al aplicar las leyes de los gases, las unidades de las variables Presión y Volumen, pueden ser las que sean, siempre y cuando sean congruentes, las unidades de la Temperatura siempre deben ser Kélvines.
- Calcula la temperatura final en °C y el volumen final en litros. Integra en tu documento el procedimiento para la resolución del problema.
Para resolver la actividad recuerda:
- Primero se debe convertir la temperatura de °C a °K.
- Luego, se busca la P2, entonces al despejar y sustituir valores se obtiene el resultado.
- Responde lo siguiente: ¿Cuál es la nueva presión manométrica?
- Explica ¿A qué se refiere la ley general de los gases?
1 respuesta
Respuesta de albert buscapolos Ing°
2
