A ver, lo primero que debes saber es que hay un convenio de signos para el sentido de la intensidad. Digamos que la intensidad va en el sentido contrario al que se mueven los electrones. Lo que realmente se mueve en un circuito eléctrico son los electrones libres, aun que se podría decir que las cargas positivas dan una sensación de movimiento puesto que donde se va un electrón aparece una carga positiva.
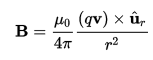
Dicho esto, la ecuación que rige la dirección del campo magnético en función de la dirección de la velocidad y del punto donde miras el campo magnético es la siguiente:

Bien, lo único que nos interesa son las variables que, v, ur
Que es el valor de la carga, que en este caso es negativa (electrón y cambia el signo de la velocidad).
V es el vector de la velocidad que va en la dirección que va el electrón.
Ur es el vector que va des de la carga a un punto del espacio en dirección perpendicular a la carga. Este vector depende de donde te interese saber la dirección del campo magnético.
¿El producto vectorial te dice que la dirección del campo magnético (B) será en dirección perpendicular a v y perpendicular a ur. Lo qué nos interesa saber es en que sentido?
El sentido de un producto vectorial se hace con la mano derecha.
Bien, supongamos que tenemos lo siguiente:

Como bien se ve, el campo magnético gira en el sentido de la mano derecha.
Sin embargo, hemos dicho que los electrones van en sentido opuesto a la corriente. Por lo que, ¿No debería cumplirse la regla de la mano derecha?
No, porque los electrones tienen carga negativa, lo que invierte todas las ecuaciones y el negativo de la carga se anula con el de la velocidad.
Espero que con esto te haya quedado claro. Nunca dudes de la regla de la mano derecha, casi siempre se va a cumplir. Sin embargo, es muy interesante que te preguntes el porqué de las cosas, así es como más se aprende y no asintiendo cuando te dichen: "La mano derecha siempre tiene la razón".
Un placer ayudarte, si no te ha quedado claro o tienes alguna otra duda no dudes en preguntarme.