Encuentre la distancia entre las dos rectas paralelas 12x+5y-15=0
Geometría
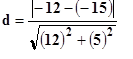
Encuentre la distancia entre las dos rectas paralelas 12x+5y-15=0 y 12x+5y=12.
1 respuesta
Respuesta de Luis Alberto Candio Salcedo
1


