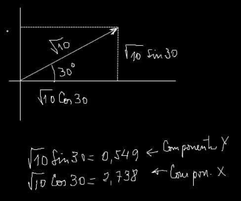
Determina un vector cuyo módulo valga √(10) unidades lineales y que forme un ángulo de 30º con la horizontal
Espero que podáis ayudarme con este ejercicio de Matemáticas, lo he intentado decenas de veces pero no he podido hallar solución.
Si es posible, que sea paso por paso.
Respuesta de Lucas m
1
1 respuesta más de otro experto
Respuesta de Llaq Kmg
1
