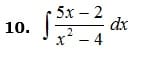
Resolverla integración por partes, integración por fracciones parciales, también métodos para resolver integrales de funciones e

Buenas noches hay que mencionar que técnica se utiliza para resolver la integral estoy atento
Respuesta de Lucas m
2
Hola, gracias por la respuesta. ¿me podrias confirmar lo siguiente o en qué partes se aplican los métodos de integración en la integral que se pregunta?- Inicialmente, después de factorizar, se aplica el método de integración por sustitución. Después se aplica la integración por partes y por último nuevamente la integración por sustitución.No estoy completamente seguro de lo anterior, ¿me confirmas o me corriges? ¡Mil gracias! - María Rodríguez