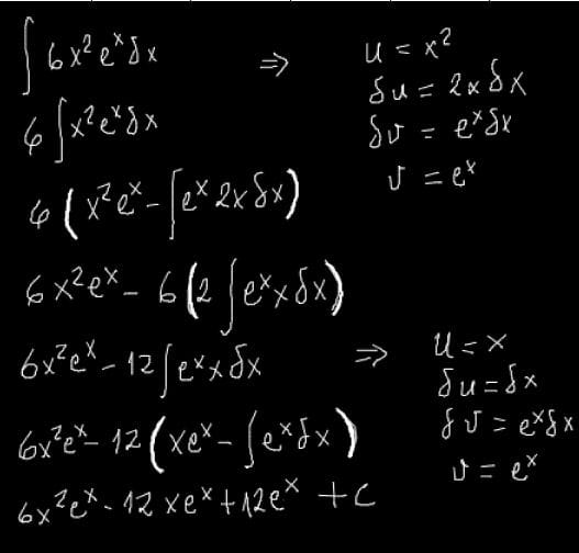
Resolver las siguientes integrales enunciando claramente la técnica o propiedad usada.

Buenas noches espero me ayuden con estas integrales ha que enunciar la propeidad o técnica utlizada para resolverla integración por partes, integración por fracciones parciales, también métodos para resolver integrales de funciones exponenciales, logarítmicas, trigonométricas e hiperbólicas
2 Respuestas
Respuesta de Llaq Kmg
1
Respuesta de Lucas m
1
