Resolver los siguientes limites intrioduccion al calculo diferencial

Buenas noches espero me ayuden con estos dos ejercicios estoy atento assu indicaciones
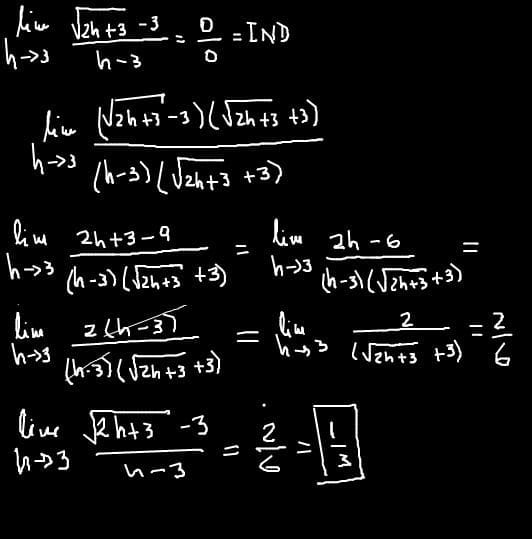
1 respuesta
Respuesta de Llaq Kmg
1
