Buenas, necesito saber los pasos a seguir en este ejercicio de funciones.
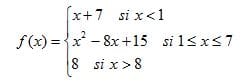
Sea la función definida a trozos:

- a) Represéntala gráficamente.
- b) Determina su valor en por =0), los extremos relativos) y los intervalos de crecimiento y decrecimiento
1 respuesta
Respuesta
1

