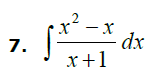
Fase 2. Propuesta del ejercicio parte 2 ejercicio 7

Sera que me podría ayudar con este ejercicio, ya que se me esta agotando el tiempo para la entrega de este trabajo y otras materias.

1 Respuesta

Respuesta
1

Aplicando sustitución por partes tenemos

$$\begin{align}&u=x+1 → \frac{du}{dx}=1\end{align}$$

 y asi

$$\begin{align}&\int \frac{x^2-x}{x+1}dx=\int \frac{\left(u-1-1\right)\left(u-1\right)}{u}du\end{align}$$

Simplificando tenemos

$$\begin{align}&\int \frac{\left(u-1-1\right)\left(u-1\right)}{u}du=\int \:u+\frac{2}{u}-3du\end{align}$$

Ahora aplicando la regla de la suma nos queda

$$\begin{align}&\int \:u+\frac{2}{u}-3du=\int \:udu+\int \frac{2}{u}du-\int \:3du\end{align}$$

Ahora resolviendo las tres integrales no queda que

$$\begin{align}&\int \:udu=\frac{u^2}{2}\end{align}$$
$$\begin{align}&\int \frac{2}{u}du=2\ln \left|u\right|\end{align}$$
$$\begin{align}&\int \:3du=3u\end{align}$$

y asi

$$\begin{align}&\int \:udu+\int \frac{2}{u}du-\int \:3du=\frac{u^2}{2}+2\ln \left|u\right|-3u\end{align}$$

ahora sustituyendo u = x + 1 nos queda

$$\begin{align}&\frac{u^2}{2}+2\ln \left|u\right|-3u=\frac{\left(x+1\right)^2}{2}+2\ln \left|x+1\right|-3\left(x+1\right)\end{align}$$
$$\begin{align}&\frac{\left(x+1\right)^2}{2}+2\ln \left|x+1\right|-3\left(x+1\right)=\frac{1}{2}\left(x+1\right)^2-3\left(x+1\right)+2\ln \left|x+1\right|\end{align}$$

por ultimo agregamos la constante de integración

$$\begin{align}&\int \frac{x^2-x}{x+1}dx=\frac{1}{2}\left(x+1\right)^2-3\left(x+1\right)+2\ln \left|x+1\right|+C\end{align}$$

y ese es el resultado.

Añade tu respuesta

Haz clic para o

Más respuestas relacionadas