¿Problema de presión prensa hidráulica física?
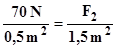
¿Calcular la fuerza resultante en una prensa hidráulica si su embolo menor se aplica una fuerza de 70N . Si su área tiene una superficie de de 0.5 m2 y su embolo mayor es de 1.5 m2?
1 respuesta
Respuesta de Luis Alberto Candio Salcedo
1


