Realizar estos ejercicios sobre valor absoluto

Necesito su ayuda, urgente

1 Respuesta

Respuesta
1

;)
Hola keisa love!

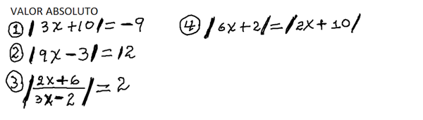
Recuerda que si  |x|=a  hay dos soluciones  : a  i   -a

Dos números opuestos tienen el mismo valor absoluto, luego al levantar las barras se han de plantear dos ecuaciones.

1)

|3x+10|=-9

Recuerda también que |a|>0 (el valor absoluto de un número siempre es positivo o cer0

Luego esta ecuación no tiene solución ya que eso es imposible

2)

|9x-3|=12

caso1:   9x-3=12  ==> 9x=15  x=15/9 = 5/3

caso 2: 9x-3=-12   ==>  9x=-12+3  ==> 9x=-9  ==>  x=-1

3)

$$\begin{align}&\Bigg| \frac{2x+6}{3x-2} \Bigg|=2\\&\\&caso 1:\\& \frac{2x+6}{3x-2} =2\\&\\&2x+6=6x-4\\&-4x=-10\\&\\&x= \frac{10} 4= \frac 5 2\\&\\&caso 2:\\& \frac{2x+6}{3x-2} =-2\\&\\&2x+6=-6x+4\\&\\&8x=-2\\&x=- \frac 2 8= - \frac 1 4\\&\\&4)\\&|6x+2|=|2x+10|\\&\\&caso \ 1:\\&6x+2=2x+10\\&4x=8\\&x=2\\&caso2\\&6x+2=-(2x+10)\\&6x+2=-2x-10\\&8x=-12\\&\\&x=- \frac {12} 8=- \frac 3 2\end{align}$$

saludos

;)

;)

Añade tu respuesta

Haz clic para o

Más respuestas relacionadas