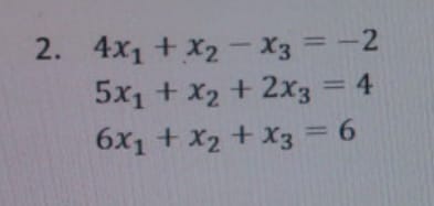
Resolver método de Cramer del siguiente ejercicio
Sistema de ecuaciones

1 respuesta
Respuesta de albert buscapolos Ing°
1
Sistema de ecuaciones
