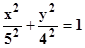
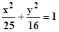
Determinar la ecuación de la elipse, con centro en o(0,0) que cumple las siguientes condiciones
Debo encontrar la ecuación de la elipse que tiene las condiciones :
1. V(5,O) F(3, O)
Respuesta de Luis Alberto Candio Salcedo
2
1 respuesta más de otro experto
Respuesta de Nelsy orozco duque
1




por que pasan los valores 16 y 25 a indices? - Sophia Isabelle Chloe
si, también me queda la duda - Gabriel Cast