¿Cuánto mide el eje mayor de dicha elipse?
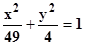
. La ecuación
$$\begin{align}&4x^2+49y^2-196=0\end{align}$$corresponde a una elipse con centro en el origen
¿Cuánto mide el eje mayor de dicha elipse?
a) 4 u
b) 7 u
c) 14 u
d) 49 u
1 respuesta
Respuesta de Luis Alberto Candio Salcedo
1

