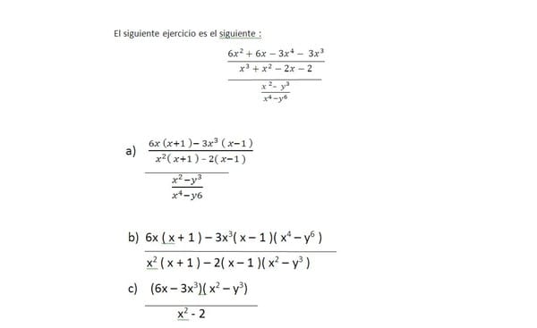
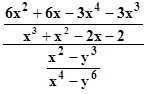
Solicito corrección de este ejercicio combinado de álgebra.
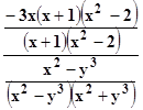
Estimados amigos del foro solicito me digan si esta parte del ejercicio de álgebra que envío es correcta hasta donde hice, no tengo el resultado.
Les envío una imagen del mismo. Gracias y espero sus correcciones.

2 respuestas
Respuesta de Luis Alberto Candio Salcedo
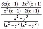
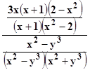
1
Respuesta de Lucas m





